Desain dapur makan bergizi gratis menjadi kunci utama dalam keberasilan Program Makan Bergizi Gratis (MBG) yang harus melayani ribuan porsi setiap hari. Tanpa desain dapur yang sesuai standar SPPG, operasional dapat berjalan lambat, tidak higienis, dan berisiko gagal verifikasi Badan Gizi Nasional. Oleh karena itu, setiap dapur MBG perlu dirancang dengan mempertimbangkan infrastruktur bangunan, pemisahan zona kerja, alur food flow yang benar, serta sistem keamanan dapur yang lengkap. Dengan desain yang tepat, pengelola dapat memastikan dapur berjalan efisien, aman digunakan setiap hari, dan mampu mempertahankan kualitas gizi yang diberikan kepada anak-anak sekolah.
Infrastruktur Bangunan yang Wajib Dipenuhi untuk Kelancaran Operasional
Desain dapur makan bergizi gratis dimulai dari fondasi bangunan yang memenuhi standar teknis SPPG.
Ukuran standar:
Untuk kapasitas produksi besar, dapur MBG idealnya memiliki luas sekitar 20 × 20 meter (±400 m²). Agar semua aktivitas seperti receiving, washing, cooking, packing, dan distribusi dapat berjalan lancar, pengelola disarankan menyiapkan lahan minimal 800 m² sehingga tersedia area sirkulasi, loading, dan ruang penunjang lain.
Fleksibilitas ukuran:
Meski ada standar rujukan, ukuran dapur bisa disesuaikan dengan jumlah porsi, kondisi lahan, dan kapasitas produksi. Untuk dapur kategori menengah (1.500–3.000 porsi), ukuran dapat lebih kecil; sebaliknya, untuk produksi besar 5.000+ porsi, area dapur bisa diperluas menjadi 500–700 m².
Lokasi strategis:
Dapur sebaiknya berada dekat akses jalan utama agar distribusi ke sekolah lebih cepat. Area harus jauh dari sumber polusi, dekat jalur air bersih, memiliki sistem drainase yang stabil, dan mudah diakses kendaraan distribusi.
Pengelola perlu menyesuaikan rancangan dapur dengan kondisi daerah setempat serta menyiapkan dokumen teknis untuk diverifikasi oleh Badan Gizi Nasional. Dengan desain yang tepat sejak awal, dapur dapat bekerja lebih efisien, hemat biaya operasional, dan memenuhi standar gizi serta keamanan pangan.
Kriteria Dapur Makan Siang Gratis yang Ideal dan Terstandar
1. Menggunakan Material Food Grade & Anti Kontaminasi
Seluruh peralatan seperti meja, wastafel, rak, troli, hingga panci wajib terbuat dari stainless steel food-grade (SS201/SS304). Material ini tidak menyerap bakteri, mudah dibersihkan, dan tahan terhadap penggunaan intensif—sesuai standar higienitas MBG.
2. Memiliki Pemisahan Zona Kotor dan Bersih
Area bahan mentah (receiving, washing) tidak boleh menyatu atau berdekatan dengan area makanan matang (cooking, packing). Pemisahan zona ini mencegah kontaminasi silang dan menjadi syarat utama kelulusan verifikasi SPPG.
3. Sirkulasi Ruang yang Cukup untuk Banyak Staf
Kapasitas dapur MBG menuntut ruang yang lebar dan mudah dilalui. Area persiapan dan ruang memasak harus cukup luas untuk menampung 8–18 pekerja agar aktivitas pemotongan, peracikan, dan memasak berlangsung cepat tanpa saling menghalangi.
4. Kualitas Pencahayaan & Ventilasi Terstandarisasi
Dapur MBG harus memenuhi standar pencahayaan 500–700 lux, didukung ventilasi alami atau exhaust hood untuk menghilangkan asap, panas, dan uap minyak. Lingkungan yang terang dan bersirkulasi baik meningkatkan keamanan dan kenyamanan kerja.
5. Akses Air Bersih & Sistem Sanitasi yang Stabil
Air bersih harus tersedia 24 jam untuk cuci tangan, cuci bahan, dan pencucian alat. Sistem drainase harus lancar untuk mencegah genangan. Dilengkapi wastafel injak, tempat sampah stainless, serta SOP sanitasi harian agar dapur tetap higienis.
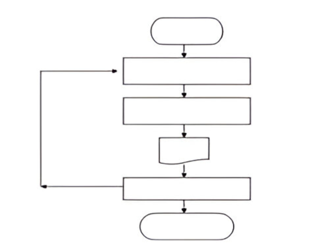
Pedoman Tata Alur Produksi Makanan Sesuai Food Flow MBG
1. Bahan Masuk Melalui Jalur Receiving yang Terpisah
Semua bahan pangan sayur, daging, bumbu, dan bahan kering harus masuk melalui area Receiving untuk ditimbang, dicatat, dan diperiksa kualitasnya. Area ini wajib terpisah dari ruang masak untuk menjaga kontrol mutu sejak awal.
2. Proses Pencucian Dilakukan di Zona Washing Khusus
Setelah diterima, bahan dipindahkan ke Washing Area untuk dicuci. Di zona ini terdapat wastafel injak, bak cuci beras, bak cuci sayur/buah, dan area cuci peralatan. Pembersihan dilakukan hingga bahan siap diproses, tanpa bersentuhan dengan makanan matang.
3. Bahan Dipotong dan Disiapkan di Preparation Zone
Bahan yang sudah bersih masuk ke ruang Preparation. Di sinilah aktivitas memotong, meracik bumbu, mengetim, dan menimbang ulang dilakukan. Talenan harus color-coded dan meja prep wajib stainless agar higienis dan mudah dirawat.
4. Proses Memasak Terpusat di Cooking Zone
Setelah prep selesai, bahan masuk ke Cooking Area yang berisi kompor industri, steam pot, oven, dan exhaust hood. Cooking zone harus memiliki ruang gerak luas untuk batch cooking besar. Di sinilah makanan diselesaikan sebelum turun ke suhu aman.
5. Pendinginan, Pengemasan, dan Distribusi Satu Arah
Makanan matang masuk ke Cooling/Holding Area untuk distabilkan suhunya, lalu dipindahkan ke Packaging Area untuk dikemas. Setelah itu, makanan langsung menuju Distribution Area untuk dimasukkan ke tray atau box. Jalurnya satu arah, tanpa kembali ke area kotor.
Standar Keselamatan Dapur: Fasilitas APAR & Proteksi Kebakaran
1. APAR Wajib Dipasang di Titik-Titik Strategis
Setiap dapur MBG harus memiliki APAR Powder & CO₂ yang ditempatkan dekat area memasak, dekat panel listrik, dan dekat pintu keluar. APAR harus mudah dijangkau, memiliki label masa berlaku, dan diperiksa berkala.
2. Fire Blanket (Selimut Api) untuk Kondisi Darurat
Fire blanket digunakan untuk memadamkan kebakaran kecil, terutama jika minyak panas terbakar di atas kompor. Selimut api ini harus dipasang di dinding dekat cooking zone dan dapat digunakan oleh staf tanpa memerlukan pelatihan teknis mendalam.
3. Sistem Pemadam Api Otomatis pada Hood Dapur
Hood dapur harus dilengkapi sistem automatic suppression yang aktif saat mendeteksi api atau suhu yang melonjak. Sistem ini mencegah api naik ke ducting dan memperluas kebakaran.
4. Hydrant atau Sprinkler untuk Perlindungan Area Besar
Pada dapur skala besar, hydrant indoor atau sprinkler diperlukan sebagai cadangan proteksi jika titik api tidak dapat dikendalikan oleh APAR atau fire blanket. Ini merupakan standar keamanan tambahan bagi dapur MBG berkapasitas ribuan porsi.
5. Detektor Asap dan Sensor Suhu
Alarm peringatan dini mendeteksi asap, panas berlebih, atau potensi korsleting. Pendeteksi ini harus dipasang di area cooking, ruang listrik, dan jalur evakuasi untuk memastikan respons cepat.
6. Pelatihan dan Prosedur Keamanan untuk Seluruh Staf
Seluruh pekerja dapur wajib memahami cara memakai APAR, fire blanket, mematikan gas, dan mengikuti jalur evakuasi. Pelatihan dilakukan minimal 3 bulan sekali agar kemampuan tetap terjaga dan sesuai standar keamanan operasional.
Tips Mengelola Dapur Makan Gratis agar Tetap Efisien
1. Susun Jadwal Produksi Harian yang Terukur
Mulai dari waktu cuci bahan, persiapan, memasak, pendinginan, hingga pengemasan harus memiliki timeline jelas. Dengan jadwal terstruktur, proses dapat berjalan tepat waktu dan meminimalkan penumpukan pekerjaan di jam sibuk.
2. Terapkan Sistem Pembagian Tugas yang Jelas

3. Gunakan Peralatan Stainless yang Mudah Dibersihkan
Meja prep, rak, wastafel injak, troli distribusi, hingga panci besar harus berbahan stainless agar perawatan lebih cepat. Peralatan yang mudah dibersihkan membuat waktu operasional lebih hemat dan dapur tetap higienis.
4. Lakukan Monitoring dan Evaluasi Harian
Pengecekan harian membantu mendeteksi bottleneck, kehabisan bahan, peralatan kurang optimal, hingga masalah sanitasi. Data ini mempermudah evaluasi mingguan dan perbaikan proses.
5. Jaga Kebersihan dan Kesehatan Dapur
Pastikan area tetap kering, tidak licin, ventilasi baik, dan staf memakai APD seperti apron, hairnet, serta masker. Langkah ini menjaga kualitas makanan dan menjamin keamanan kerja.
Kesimpulan
Desain dapur Makan Bergizi Gratis yang sesuai standar SPPG adalah fondasi utama agar proses produksi makanan dapat berjalan cepat, aman, dan higienis setiap hari. Dengan memastikan infrastruktur bangunan yang tepat, standar material food-grade, alur produksi satu arah, perlengkapan keselamatan yang lengkap, serta manajemen operasional yang rapi, dapur MBG dapat berfungsi optimal untuk melayani ribuan siswa secara konsisten. Perencanaan yang benar sejak awal bukan hanya memperlancar verifikasi pemerintah, tetapi juga meningkatkan efisiensi kerja staf dan kualitas makanan bergizi yang dihasilkan.
Bagi pengelola sekolah, yayasan, UMKM, dan lembaga sosial yang ingin membangun dapur MBG profesional, memilih penyedia yang tepat adalah langkah penting. InovaKit hadir sebagai partner tepercaya dalam menyiapkan desain dapur, peralatan stainless food-grade, dan layout siap audit yang memenuhi seluruh standar SPPG. Dengan pengalaman menangani berbagai instalasi dapur MBG, InovaKit menyediakan paket lengkap mulai dari denah 2D/3D, rekomendasi alur food flow, hingga 80+ item peralatan dapur yang siap digunakan sejak hari pertama.
Kunjungi inovakit.id untuk mendapatkan konsultasi gratis, contoh desain dapur MBG, dan paket peralatan lengkap yang dirancang khusus agar dapur Anda langsung siap verifikasi dan siap melayani Makan Bergizi Gratis setiap hari.
Siap membangun dapur MBG yang efisien dan aman? Saatnya berkolaborasi dan wujudkan operasional dapur yang profesional untuk generasi Indonesia yang lebih sehat.













.jpg)

